CAS 52328-05-9 | bis(methoxymethanimidamide); sulfuric acid

Catalog #: NB30203

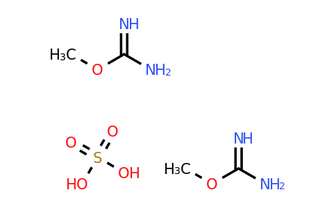
bis(methoxymethanimidamide); sulfuric acid

CAS No.: 52328-05-9

Formula: C4H14N4O6S

Mol Weight: 246.24 g/mol

Purity: NLT 98%

MDL Number:

Catalog No.NB30203CAS No.52328-05-9
Chemical Namebis(methoxymethanimidamide); sulfuric acidMDL No.
FormulaC4H14N4O6SMol Weight246.24
Boiling PointStorage
DescriptionSynblock offers CAS 52328-05-9, bis(methoxymethanimidamide); sulfuric acid, NLT 98%, its formula is C4H14N4O6S and mol weight is 246.24 g/mol, its documents regarding bis(methoxymethanimidamide); sulfuric acid, including MSDS, NMR, HPLC, LC-MS and more.
Related Categories Others
* Not for human use directly.
GHS Pictogram Signal Word:
Hazard Statements
Precautionary Statements
UN Number

Related Products